In Part 2 (Usercom 41) of this series, we discuss the basic concepts that prevent errors in the determination of sample mass and that ensure that requirements regarding accuracy are adhered to. These concepts are based on GWP® , the science-based global standard for the efficient lifecycle management of weighing instruments.

There are several factors that limit the performance of a balance with regard to the accuracy with which the mass of a sample can be determined. Besides the finite readability due to rounding of a digital indication, the most important of these are repeatability (RP), eccentricity (EC), nonlinearity (NL), and sensitivity (SE). These terms are graphically displayed in Figure 1 and explained in detail in the respective technical literature [1].
In order to assess how these factors influence the performance of a weighing instrument, the term “measurement uncertainty” must first be discussed. The "Guide to the Expression of Uncertainty in Measurement (GUM)" defines uncertainty as a “parameter associated with the result of a measurement that characterizes the dispersion of the values that could reasonably be attributed to the measurand” [2].
Basically, measurement uncertainty therefore describes how far away a measurement result might reasonably be from the true value. Measurement uncertainty is determined when the instrument is calibrated. For weighing instruments, it can be approximated by a positive sloped straight line – the higher the load, m, on the balance the larger the (absolute) measurement uncertainty, Uabs, as shown in Figure 2 and expressed by eq 1:
Uabs = α + β · m (1)
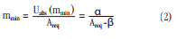
Here m is the mass; α and β are coefficients that are determined in the calibration. The relative measurement uncertainty is the absolute measurement uncertainty normalized to the mass. Figure 2 displays the absolute and the relative measurement uncertainty for the uncertainty model according to eq 1. Looking at the relative measurement uncertainty, we see that it becomes larger as the load gets smaller. If a particular accuracy is required in a weighing process ("Weighing accuracy", Areq, given by the continuous red line in Figure 2), the socalled minimum sample weight is given by the point of intersection of the weighing accuracy and the relative measurement uncertainty.
This mass corresponds to the smallest amount of sample that must be weighed in order to achieve the required accuracy. If sample amounts smaller than the minimum sample weight are weighed, the measurement uncertainty lies in the red shaded area and is therefore outside the required weighing accuracy.
For sample amounts larger than the minimum sample weight (green shaded area), the accuracy requirements are satisfied. If we know the parameters α and β, the minimum sample weight, mmin, can be determined from eq 2:

With analytical balances, the dominant factor contributing to measurement uncertainty at the low end of the measurement range (i.e. weighing small samples) is due to repeatability.
This is illustrated in Figure 3, which displays the different contributions to the measurement uncertainty as a function of the sample mass. The repeatability is given by the standard deviation of the measurement results of a series of replicate weighings.
The XP6U balance is also used in the TGA/DSC 3. The different curves in figure 3 show the total relative measurement uncertainty (U_tot) and the contributions of the different components: U_RP is repeatability, U_EC is eccentricity, U_NL is nonlinearity, U_SE is sensitivity offset. In the red shaded area, the repeatability is the dominant factor whereas in the green shaded area, the sensitivity offset dominates.
Consequently, the minimum weight, mmin, can be determined more simply according to eq 3:

Here sRP stands for the repeatability (expressed as the standard deviation of a series of measurements) and k for the socalled coverage factor, which is usually k = 2. Based on the same approach, the repeatability requirement given in the USP
Based on the same approach, the repeatability requirement given in the USP General Chapter 41 is defined as follows:
"Repeatability is satisfactory if two times the standard deviation of the weighed value, divided by the desired smallest net weight, does not exceed 0.10 %." [3]
This yields a minimum weight, mmin given by:
mmin= 2000 · sRP (4)
(2 divided by 0.1% = 2000)
For the XP6U balance used in the TGA/ DSC 3, sRP is about 0.15 µg. In TGA measurements, one is usually interested in changes in mass. A mass change, ∆m, is the result of the difference of two weighings, that is, ∆m = m1 – m2.
Here m1 and m2 stand for the measurement results of the two weighings. If we assume that the repeatability of the determination of mass by the TGA is sRP, the repeatability of the mass change, s∆mRP is given by eq 5:

If we define the same requirements with regard to repeatability for a mass change as for a single measurement (0.10 %), then the step height must be at least about 450 μg (=2 · √ 2 · 0.15/0.001).
It is important to realize that the minimum weight is not constant over time. This is due to changing environmental conditions (for example, temperature changes, vibrations, drafts, electromagnetic fields).
To ensure that you always weigh above the minimum weight as determined at calibration, the value determined for mmin according to eq 3 is sometimes multiplied by a so-called safety factor to ensure that weighings are always determined with the required accuracy.

In thermal analysis, the accurate weighing of samples in the milligram range in DSC and TGA measurements is an important step prior to the actual measurement. The measurement uncertainty of the sample weight in this range is practically entirely given by the repeatability.
To assess the performance of a laboratory balance, a repeatability test is therefore better than the linearity test that is often performed. For any particular required weighing accuracy, there is a corresponding minimum sample weight. It corresponds to the smallest amount of substance that must be weighed in order to ensure that a certain accuracy requirement can be satisfied.
The minimum weight can be easily estimated from repeatability measurements. The concept presented here is based on GWP®, the science-based global standard for efficient lifecycle management of weighing instruments. The topic is described in detail in the literature [7].
Reliable Determination of Sample Mass – The Concept of Minimum Sample Weight | Thermal Analysis Application No. UC 412 | Application published in METTLER TOLEDO Thermal Analysis UserCom 41